حقوق الطبع لهذا البحث محفوظة للمشروع الإسلامي لرصد الأهلة © 2007
المواد غير قابلة لإعادة النشر دون إذن مسبق
المشروع الإسلامي
لرصد الأهلة

محمد شوكت عودة
بسم الله الرحمن الرحيم
حساب مواقيت الصلاة
تهدف هذه
الدراسة إلى بيان كيفية حساب مواقيت الصلاة، و بيان العوامل المؤثرة عليها من جوية
و جغرافية، و يشار في الدراسة إلى بعض الآراء الفقهية المتعلقة بمواقيت الصلاة.
بالنسبة
لحساب مواقيت الصلاة بدقة عادية، تكون زاوية سمت الرأس على النحو
التالي:-
- لصلاة
الفجر
= 90º
+ 18º = 108º .
- لشروق
الشمس = 90º
+ نصف قطر الشمس الظاهري + الانكسار = 90.83333º.
- لصلاة
الظهر
= يتم حساب موعد صلاة الظهر مباشرة باستخدام المعادلة (1).
- لصلاة
العصر
= يتم حساب زاوية سمت الرأس
باستخدام المعادلة (5)
أو (6).
- لصلاة
المغرب = 90º + نصف قطر الشمس الظاهري + الانكسار = 90.83333º.
- لصلاة
العشاء
= 90º
+ 18º = 108º.
أما إذا كانت الدقة
المطلوبة عالية، فتكون زاوية سمت
الرأس على النحو التالي:
- لصلاة
الفجر = 90º + 18º = 108º .
- لشروق
الشمس = 90º
+ نصف قطر الشمس الظاهري + الانكسار + انخفاض الأفق - اللوص الأفقي.
- لصلاة
الظهر
= يتم حساب موعد صلاة الظهر مباشرة باستخدام المعادلة (1).
- لصلاة
العصر
= يتم حساب زاوية سمت الرأس باستخدام المعادلة (c6).
- لصلاة
المغرب = 90º + نصف قطر الشمس الظاهري + الانكسار + انخفاض الأفق - اللوص الأفقي
- لصلاة
العشاء
= 90º
+ 18º = 108º.
و يتم
حساب نصف قطر الشمس و الانكسار عن طريق
معادلات خاصة مذكورة في البحث.
قد يختلف تعريف بداية وقت بعض
الصلاوات من مذهب لآخر أو من دولة لأخرى، و نورد فيما يلي ما هو معتمد في معظم
الدول الإسلامية دون الخوض في رأي كل مذهب أو دولة.
- الفجر الكاذب: هو ضوء أبيض
باهت يظهر في جهة الشرق قبل حلول الفجر الصادق على شكل مثلث قاعدته على الافق
ورأسه إلى أعلى، وهو ناتج عن انعكاس أشعة الشمس عن حبيبات غبارية وأتربة تسبح في
الفضاء على نفس مستوى دوران الأرض حول الشمس، ويسمى فلكيا بالضوء البرجي وهو يظهر
أيضا في جهة الغرب بعد انتهاء الغسق
المسائي، وبالنسبة لنصف الكرة الأرضية الشمالي فإن الضوء البرجي أكثر وضوحا قبل الفجر
في جهة الشرق في فصل الخريف وبعد العشاء في جهة الغرب في فصل الربيع، وبشكل عام يمكن رؤية الضوء
البرجي يوميا ولكن بسب خفوت إضاءته فإنه لا يمكن رؤيته من المدن الملوثة ضوئيا، فإضاءة
المدن تخفي ضوء الفجر الكاذب الباهت، فهو لا يرى إلا من مكان مظلم بعيد عن إضاءة
المدن.
- الفجر الصادق: يبدأ وقت صلاة
الفجر عند انتشار الضوء الأبيض في جهة الشرق بعد ظهور الفجر الكاذب، إذ يختفي
الفجر الكاذب بظهور الفجر الصادق. و ضوء الفجر الصادق ناتج عن تشتت أشعة الشمس من
قبل الغلاف الجوي، ولقد وجد عمليا أن الفجر الصادق يبدأ بالظهور عندما يكون مركز
الشمس منخفضا تحت الأفق بمقدار 18 درجة [17].
- الظهر: يبدأ وقت صلاة
الظهر عند زوال الشمس، أي ميلها عن سط السماء. ولا يقصد بوسط السماء نقطة سمت الرأس (وهي
النقطة الواقعة فوق رأس الراصد مباشرة في السماء) بل المقصود هو خط الزوال، وهو
الخط الواقع في منتصف المسافة بين المشرق و المغرب، و يمر هذا الخط في جهتي
الشمال و الجنوب تماما. فما أن يصل مركز قرص الشمس إلى خط الزوال حتى يحين
موعد صلاة الظهر.
- العصر: يبدأ وقت صلاة العصر حسب المذهب
الشافعي عندما يصبح طول ظل الشاخص يساوي طول الشاخص نفسه مضافا إليه ظل الشاخص وقت
الزوال (الظهر). أما حسب المذهب الحنفي يبدأ وقت صلاة العصر عندما يصبح طول ظل
الشاخص يساوي مثلي طول الشاخص نفسه مضافا إليه ظل الشاخص وقت الزوال، علما بأن معظم
الدول الإسلاميه تعتمد تعريف المذهب الشافعي.
- المغرب: يبدأ وقت صلاة
المغرب عند غروب الحافة العليا لقرص الشمس تحت الأفق الغربي.
- العشاء: يبدأ وقت صلاة العشاء عند اختفاء
الضوء الابيض من جهة الغرب بعد غروب الشمس و دخول ظلمة الليل، و بداية وقت صلاة العشاء
مثل بداية وقت صلاة الفجر، فلقد وجد عمليا أن بداية وقت صلاة العشاء يحين عندما
يصبح مركز الشمس منخفضا تحت الافق بمقدار 18 درجة.
زاوية سمت الرأس θ هي بعد مركز الشمس
بالدرجات عن نقطة سمت
الرأس (Zenith)، و بشكل تقريبي تكون زاوية سمت الرأس وقت شروق أو غروب الشمس تساوي 90 درجة،
أما بالنسبة لصلاتي الفجر والعشاء فتكون الزاوية تساوي 108 درجات، و ذلك لأن موعد
صلاتي الفجر والعشاء يحين عندما يكون مركز الشمس منخفضا تحت الافق بمقدار 18 درجة،
وحيث إن الأفق يبعد عن وسط السماء بمقدار 90 درجة، فعليه يحين موعد صلاتي الفجر والعشاء عندما
يكون مركز الشمس بعيدا عن وسط السماء بمقدار 90 + 18 = 108 درجات.
إن نقطة
البدء في حساب مواقيت الصلاة هي حساب وقت صلاة الظهر، حيث تحسب بقية مواقيت الصلاة
بالنسبة لصلاة الظهر. و ذلك على النحو التالي:-
3-1) حساب وقت صلاة الظهر:
وقت الظهر = 12+ فرق خط الطول
( بالساعات ) - معادلة الزمن ( بالساعات) ...... (1)
حيث إن:
فرق خط الطول: قسمت الكرة الأرضية إلى حزم زمنية (Time Zones)، عرض الواحد منها 15 درجة ولكل حزمة زمنية خط طول يسمى خط الطول الأوسط، حيث تفترض جميع الدول الواقعه ضمن حزمة زمنية معينة أن خط طولها يساوي خط الطول الأوسط لهذه الحزمة الزمنية، و هذا الافتراض سيؤدي لوجود فرق زمني بين الوقت الحقيقي للمنطقة و بين الوقت المعتمد، و يسمى هذا الفرق بفرق خط الطول، ويمكن الحصول على قيمة فرق خط الطول من المعادلة التالية:

علما بأن
إشارة فرق خط الطول للمناطق التي تقع شرق خط الطول الأوسط هي سالبة، وبالنسبة
للمناطق التي تقع إلى الغرب من خط الطول الأوسط فهي موجبة، و يبين الملحق (1) خط
الطول الأوسط لمختلف الحزم الزمنية.
* مثال على مدينة عمّان:

معادلة
الزمن (Equation of Time): لتسهيل الحسابات الفلكيه فإننا نفترض أن الشمس تسير ظاهريا في السماء
بسرعة ثابتة على خط الإستواء السماوي، وتسمى هذه بالشمس المتوسطة (Mean Sun) ويسمى التوقيت المنسوب لها بالتوقيت الشمسي المتوسط (Mean Solar
Time) ، ولكن
بسبب إهليلجية مدار الأرض وميلان محور دورانها حول نفسها بمقدار 23.4 درجة فإن
الشمس تسير بسرعة متغيرة على مدار البروج، و هذه هي الشمس الظاهرية أو الحقيقية (Apparent
Sun)، ويسمى التوقيت المنسوب لها بالتوقيت الشمسي الظاهري أو الحقيقي (Apparent Solar Time)، ومعادلة الزمن هي الوقت اللازم للشمس
الحقيقية حتى تصل إلى موقع الشمس المتوسطة، أو العكس تبعا للتعريف المعتمد لمعادلة
الزمن، ويمكن الحصول على قيمة تقريبية
لمعادلة الزمن من الملحق (2)،
أو حسابها عن طريق المعادلات المبينة في الملحق (3).
3-2) حساب وقت صلاة الفجر والشروق وصلاتي المغرب والعشاء:
تحسب جميع الأوقات الأربعة سالفة
الذكر باستخدام المعادلة التالية:

حيث إن:
Φ: خط العرض الجغرافي للموقع، وتكون الإشارة موجبة
إذا كان الموقع يقع شمال خط الاستواء، وسالبة إذا
كان يقع جنوبه.
δ: الميل الإستوائي للشمس (Declination)، و يمكن الحصول عليه من
الملحق (2)، أو حسابه من الملحق
(3).
θ: زاوية سمت الرأس.
H: الزاويه الساعية (Hour Angle)، وهي الزاوية المراد إيجادها، و تحول إلى زمن بالقسمة على 15،
ومن ثم نطرح هذا الزمن من وقت صلاة الظهر لإيجاد وقت صلاة الفجر أو شروق الشمس، أو
يضاف هذا الزمن إلى وقت صلاة الظهر لإيجاد وقت صلاة العصر أو المغرب أوالعشاء.
3-3) حساب وقت صلاة العصر:
لحساب وقت
صلاة العصر نستخدم المعادلة (3)، ولكن لأن زاوية سمت الرأس بالنسبة لصلاة
العصر غير ثابتة من يوم لآخر كبقية مواقيت الصلاة، فيجب أولا حساب زاوية سمت الرأس لصلاة العصر
وذلك باستخدام المعادلات التالية:
a = sin-1 (sin(Φ) sin (δ) + cos (Φ) cos (δ) ) ……. (4)
θ’ = 90 – cot-1 (1 + cot (a) ) المذهب الشافعي .…… (5)
θ’ = 90 – cot-1 (2 + cot (a) ) المذهب الحنفي .…… (6)
حيث إن :
Φ: خط العرض الجغرافي للموقع، وتكون الإشارة موجبة
إذا كان الموقع يقع شمال خط الاستواء، وسالبة إذا كان يقع جنوبه.
δ: الميل الإستوائي للشمس (Declination)، و يمكن الحصول عليه من الملحق (2)، أو حسابه من
الملحق (3).
θ': زاوية سمت الرأس، و
تحول إلى زاوية موجبة إذا كانت الزاوية
الناتجة سالبة الإشارة.
نتيجة
للانكسار الحاصل في الغلاف الجوي فإن الشمس تبدو أعلى من موقعها الحقيقي، لذلك
علينا حساب قيمة الإنكسار عند قيمة زاوية سمت الرأس التي تم الحصول عليها من
المعادلة (5) أو (6). و ذلك باستخدام المعادلة (6a).

حيث إن :
h: بعد مركز الشمس عن الأفق بالدرجات
و يساوي 90° – θ’.
بعد حساب قيمة الإنكسار من المعادلة (6a) من الممكن
استخدام المعادلة (6b) للحصول على
قيمة الانكسار عند معرفة درجة الحرارة و الضغط الجوي.

حيث إن:
P: الضغط الجوي بالملبار.
T: درجة الحرارة بالدرجات المئوية.
R’: قيمة الانكسار
التي تم الحصول عليها من المعادلة (6a).
R: قيمة الانكسار النهائية.
بعد
حساب قيمة الإنكسار فإن زاوية سمت الرأس بالنسبة لصلاة العصر تساوي
θ = θ’ + R .............. (6c)
حيث إن:
:θ’ زاوية سمت الرأس التي تم الحصول عليها من
المعادلة (5) أو (6).
R: قيمة الانكسار التي تم الحصول عليها من المعادلة (6b) بعد تحويلها إلى درجات.
:θزاوية سمت الرأس النهائية
لصلاة العصر.
بعد معرفة زاوية سمت الرأس θ نستخدم العلاقة (3) لإيجاد
الزاوية الزمنية ثم تحول إلى زمن ويضاف هذا الزمن لموعد صلاة الظهر.
تتأثر
مواقيت الصلاة بعوامل مختلفة، أما العوامل التي تؤثر على موعدي شروق و غروب الشمس،
فهي: نصف قطر الشمس الظاهري و انكسار أشعة الشمس و اللوص الأفقي و الارتفاع عن سطح
البحر. و فيما يلي تفاصيل تلك العوامل:
نصف قطر الشمس: ذكرنا سابقا أن موعد شروق أوغروب الشمس يحين عند ظهور أو اختفاء الحافة العليا لقرص الشمس على الترتيب، وحيث إن زاوية سمت الرأس تعبر عن موقع مركز الشمس وليس حافتها فيجب أخذ نصف قطر الشمس الظاهري بعين الاعتبار، ويبلغ قطر الشمس الظاهري 32 دقيقة قوسية كمتوسط ( الدرجة تساوي 60 دقيقة قوسية)، وعليه فإن موعد شروق أوغروب الشمس يحين عندما يكون مركز الشمس بعيدا عن وسط السماء بمقدار 90 درجه مضافا إليها نصف قطر الشمس الظاهري، و بالتالي تصبح زاوية سمت الرأس وقت شروق أوغروب الشمس كالآتي:

إن قيمة 16 دقيقة قوسية هي قيمة تقريبيه لنصف
قطر الشمس الظاهري، و لكن بسبب إهليلجية مدار الأرض حول الشمس، فإن الأرض تقترب من الشمس تارة، وعندها يبدو قرص
الشمس الظاهري أكبر من المعدل بقليل، وتبتعد عن الشمس تارة أخرى، و عندها يبدو قرص الشمس الظاهري أصغر من المعدل
بقليل، فإذا أردنا حساب موعد شروق أو غروب الشمس بدقة يجب علينا حساب نصف قطر
الشمس الظاهري وعدم استخدام القيمة التقريبية لقطر الشمس وهي 32 دقيقة قوسية،
ويمكننا حساب نصف قطر الشمس الظاهري باستخدام المعادلات الموجودة في الملحق (3).
انكسار
أشعة الشمس: يعمل الغلاف الجوي الأرضي عمل العدسة
التي تحيط بالأرض، ولأن كثافة و درجة حرارة الغلاف الجوي تختلف من منطقة لأخرى، فإن أشعة الشمس لدى دخولها الغلاف الجوي تعاني
من الانكسار، ويبلغ متوسط قيمة الانكسار عند الأفق 34.16 دقيقة قوسية (0.569333º)، وتتأثر هذه القيمة عكسيا مع درجة الحرارة و طرديا مع الضغط
الجوي، وللحصول على قيمة أدق للانكسار يمكننا استخدام العلاقة التالية:

حيث إن:
P: الضغط الجوي بالملبار.
T: درجة الحرارة بالدرجات المئوية.
وبسبب
انكسار أشعة الشمس فإن الشمس تبدو لنا أنها تشرق قبل شروقها الحقيقي، وتظهر لنا
أنها تغرب بعد غروبها الحقيقي، ولذلك يجب أخذ الانكسار بعين الاعتبار، وعليه تصبح
زاوية سمت الرأس بالنسبة لموعد شروق أوغروب الشمس على النحو التالي:
θ
= 90º +
نصف قطر الشمس الظاهري + الانكسار
وبشكل
تقريبي فإن هذا يساوي:

اللوص
الأفقي (Horizontal Parrallax): إن المعادلات الرياضية
سالفة الذكر تفترض وجود الراصد في مركز الأرض، وتحسب موقع الشمس بالنسبة له، إلا
أن الراصد حقيقة يقع على سطح الأرض، وبالتالي فإن انزياح موقع الراصد من مركز
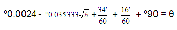
الأرض إلى سطحها سيغير موقع الشمس بمقدار بسيط يساوي 0.0024º، و هذا يسمى بالتزيح أو اللوص الافقي. وعليه تصبح زاوية سمت الرأس بالنسبة لشروق وغروب الشمس على النحو التالي:
θ
= 90º + نصف قطر الشمس الظاهري +
الانكسار – اللوص الأفقي
وبشكل
تقريبي فإن هذا يساوي:

الإرتفاع
عن مستوى سطح البحر: ينخفض الأفق بالنسبة للراصد
نتيجة للارتفاع عن سطح البحر، وبالتالي فإن الراصد الواقع في منطقة فوق مستوى سطح
البحر يرى الشمس تشرق قبل الراصد الذي يقع على مستوى سطح البحر، وهو يرى أيضا
الشمس تغرب بالنسبة له بعد أن تغرب بالنسبة للراصد الواقع على مستوى سطح البحر. و
تحسب قيمة انخفاض الأفق بالدرجات بالنسبة لراصد يقع على ارتفاع (h)
متر عن مستوى سطح البحر بالمعادلة التالية:

وعندما يقع الراصد فوق مستوى سطح البحر فإن أشعة الشمس تعاني من انكسار آخر يعطى بالمعادلة التالية:

و عليه فإن التعديل الكلي الناتج عن الارتفاع عن مستوى سطح البحر يعطى بالمعادلة التالية:

و هكذا تصبح زاوية سمت الرأس بالنسبة لشروق وغروب الشمس على النحو التالي:
θ
= 90º + نصف قطر الشمس الظاهري +
الانكسار + انخفاض الأفق – اللوص الأفقي ...... (9)
وبشكل
تقريبي فإن هذا يساوي:

و لمنطقة تقع مثلا على ارتفاع 1000
متر عن مستوى سطح البحر باستخدام هذه القيم،
فإن θ
= 91.948º.
هذا و يمكن
تقسيم المناطق المرتفعة عن مستوى سطح البحر إلى فئات ثلاث هي:
1- أن يكون أفق المنطقة الواقعة فوق مستوى سطح
البحر هو البحر أو منطقة تقع على مستوى سطح البحر، و مثل هذا ينطبق على بعض الجبال
مثلا، و في هذه الحالة يمكن تطبيق المعادلات السالف ذكرها مباشرة.
2- أن يكون أفق المنطقة الواقعة فوق مستوى سطح
البحر يقع على نفس ارتفاع المنطقة، ومثل هذا ينطبق على الهضاب الواسعة، فقد يكون ارتفاع المنطقة 500 م فوق مستوى سطح
البحر مثلا، إلا أن جميع المنطقة المحيطة بها تقع على نفس هذا الارتفاع، فالمنظر
بالنسبة للراصد مستوي، وفي هذه الحالة فإن الارتفاع عن مستوى سطح البحر لا يؤثر
على وقت الشروق أو الغروب، أي أنه يجب اعتبار المنطقة واقعة على مستوى سطح البحر.
3- أن تكون المنطقة الواقعة فوق مستوى سطح
البحر ما بين الحالتين السابقتين، كأن يكون ارتفاع المنطقة هو 1000م مثلا، في حين
أن ارتفاع المناطق المحيطة بها هو 600 م، فعندها
يجب اعتبار ارتفاع المنطقة هو الفرق بين الارتفاعين أي 400 م فوق مستوى سطح البحر فقط.
5-1 ) حسابات الدقة العالية:
إذا كان المطلوب حساب مواقيت الصلاة
بدقة عالية، فإن زاوية سمت
الرأس تكون كما يلي:
- لصلاة
الفجر = 90º + 18º = 108º .
- لشروق
الشمس = 90º
+ نصف قطر الشمس الظاهري + الانكسار + انخفاض الأفق - اللوص الأفقي.
- لصلاة
الظهر
= يتم حسابها مباشرة باستخدام المعادلة
(1).
- لصلاة
العصر
= يتم حساب زاوية سمت الرأس
باستخدام المعادلة (c6).
- لصلاة
المغرب = 90º + نصف قطر الشمس الظاهري + الانكسار + انخفاض الأفق - اللوص الأفقي
- لصلاة
العشاء
= 90º
+ 18º = 108º.
و لتكون
الدقة عالية يفضل حساب نصف قطر الشمس الظاهري كما في الملحق (3)، و حساب قيمة
الانكسار من المعادلة (7)، و حساب انخفاض الأفق من المعادلة (8).
5-2 ) حسابات الدقة العادية:
إذا كانت
الدقة المطلوبة عادية، فتكون زاوية سمت
الرأس كما يلي:
- لصلاة
الفجر
= 90º
+ 18º = 108º .
- لشروق
الشمس = 90º
+ نصف قطر الشمس الظاهري + الانكسار = 90.83333º.
- لصلاة
الظهر
= يتم حسابها مباشرة باستخدام المعادلة
(1).
- لصلاة
العصر
= يتم حساب زاوية سمت الرأس باستخدام المعادلة (5) أو (6).
- لصلاة
المغرب = 90º + نصف قطر الشمس الظاهري + الانكسار = 90.83333º.
- لصلاة
العشاء
= 90º
+ 18º = 108º.
و هذا هو
المعمول به في معظم المراجع والكتب الفلكية، ولا تستخدم قيم أخرى إلا إذا كان
المطلوب الحصول على قيم دقيقة جدا لمواقيت الصلاة، أو في المناطق المرتفعة عن
مستوى سطح البحر.
وكما ذكرنا سابقا، بعد معرفة زاوية سمت الرأس لكل صلاة يتم استخدام المعادلة (3) للحصول على الزاوية الزمنية لوقت الصلاة المراد إيجاده، وتحول إلى زمن بالقسمة على 15، وتطرح هذه القيمة من وقت صلاة الظهر للحصول على وقت صلاة الفجر أو شروق الشمس، أو تضاف هذه القيمة لوقت صلاة الظهر للحصول على وقت صلاة العصر أو المغرب أو العشاء. و في حالة اعتماد التوقيت الصيفي، فيجب إضافة ساعة لجميع مواقيت الصلاة بعد إيجاد الجواب النهائي.
6- ملاحظات عامة
1-
لاحظ أن قيمة الطرف الأيسر من المعادلة (3) يجب أن تكون ما بين 1 و –1، و
إلا دل ذلك على أن الشمس ستبقى طيلة اليوم فوق أو تحت الأفق، و هذا يحدث في مناطق
خطوط العرض العليا. و عليه يجب التأكد من قيمة الطرف الأيسر من المعادلة (3) قبل
الاستمرار بإجراء الحسابات.
2- نلاحظ من المعادلة (3) أنه لحساب وقت الصلاة
يجب إدخال الميل الإستوائي للشمس وقت الصلاة، إلا أن وقت الصلاة مجهول إذ أنه هو
المطلوب إيجاده، و يمكن حل هذه الإشكالية بعدة طرق منها أن يتم حساب الميل
الإستوائي للشمس عند منتصف اليوم مثلا، و تستخدم هذه القيمة الأولية لحساب مواقيت
الصلاة بشكل تقريبي، و من ثم يتم حساب الميل الإستوائي للشمس مرة أخرى عند وقت كل
صلاة تقريبي، و تستخدم القيم الجديدة للميل
الإستوائي للشمس للحصول على قيم جديدة أكثر دقة لمواقيت الصلاة.
3- يعتقد
البعض خطأ أن مواقيت الصلاة تعتمد على خط الطول الجغرافي فقط! وهذا غير صحيح، فجميع مواقيت الصلاة باستثناء صلاة الظهر، تتأثر
باختلاف خط العرض الجغرافي؛ فقد تقع مدينتان على نفس خط الطول، مثل عمّان والعقبة
مثلا، ولكن نلاحظ أن الفجر وشروق الشمس
والعصر والمغرب والعشاء لا تحين في المدينتين في نفس الوقت، بل إن الفارق بين
المدينتين غير ثابت فهو يختلف من فصل لآخر، وسبب ذلك هو ميلان محور دوران الأرض حول
نفسها بمقدار 23.4 درجة. وبطريقة أبسط فمعظمنا يعلم أن النهار في بريطانيا مثلا في
فصل الصيف أطول بكثير من النهار في مناطقنا العربية، أما في فصل الشتاء فإن النهار
في بريطانيا أقصر بكثير منه في مناطقنا العربية. وكقاعدة فإن شروق الشمس في فصل
الصيف يحين في المناطق الشمالية قبل الجنوبية بثبوت خط الطول الجغرافي، وغروب
الشمس في فصل الصيف يحين في المناطق الشمالية بعد الجنوبية بثبوت خط الطول
الجغرافي، والعكس صحيح شتاء.
4- من
المعلومات البسيطة التي يفضل أن يعرفها أي مهتم بمواقيت الصلاة هي أن الفترة ما
بين شروق الشمس وآذان الظهر يجب أن تساوي تقريبا الفترة ما بين آذان الظهر وغروب
الشمس، وكذلك فإن الفترة ما بين آذان الفجر وآذان الظهر يجب أن تساوي تقريبا
الفترة ما بين آذان الظهر وآذان العشاء، وكذلك فإن الفترة ما بين آذان الفجر وشروق
الشمس و هي فترة الشفق يجب أن تساوي تقريبا الفترة ما بين غروب الشمس و آذان العشاء
و هي فترة الغسق. وجميع ذلك بالنسبة لنفس الموقع و لنفس اليوم.
7- مسائل
للنقاش
نورد
فيما يلي بعض المسائل الفلكية أو الفقهية المتعلقة بمواقيت الصلاة، و التي يوجد
لها أكثر من رأي، و لا نحاول نحن البت في كل مسألة، فبعضها يحتاج إلى بحث كامل
ليتم البت فيها، بل نورد في نهاية كل مسألة ما هو معمول به في غالبية الدول
الإسلامية أو الرأي الراجح بين علماء الفلك أو الشريعة الإسلامية.
7-1) وقت صلاة الظهر:
إن المعتمد في حساب وقت صلاة الظهر في معظم
البلاد الإسلامية هو عبور مركز الشمس لخط الزوال، إلا أن البعض يرى أن ذلك غير
دقيق، وحجتهم في ذلك أن التعريف الشرعي لصلاة الظهر هو ميل الشمس عن وسط السماء
وليس وصول الشمس إلى وسط السماء، فبعضهم يفضل انتظار عبور جميع قرص الشمس لخط
الزوال، والبعض الآخر ينتظر لمدة قد تصل إلى 15 دقيقة زمنية بعد عبور مركز الشمس
لخط الزوال، منتظرا بذلك نقصان طول الظل. إلاّ أننا نرى أن المعتمد في معظم الدول
الإسلامية هو الأصح، فالشمس تميل عن وسط السماء فور وصولها إلى خط الزوال، و ذلك لأن
الأرض في حركة مستمرة حول نفسها، وبالتالي فإننا نرى الشمس تتحرك باستمرار،
فاللحظة التي تزول فيها الشمس عن وسط السماء هي لحظة وصول مركز الشمس إلى خط
الزوال (وسط السماء).
7-2) مشكلة الأفق والجبال
البعيدة:
تبرز هذه
المشكلة في وقت صلاة المغرب، فالبعض يراقب حركة الشمس وما أن يلاحظ أن الشمس قد
اختفت في جهة الغرب حتى يصلي المغرب أو يفطر إن كان صائما، متجاهلا بذلك أن الشمس
قد لا تكون قد غربت فعلا بل قد تكون قد اختفت خلف هضبة أو جبل بعيد. بالطبع كانت
مراقبة الشمس بالعين المجردة هي الوسيلة الوحيدة لمعرفة وقت صلاة المغرب في عهد
الرسول صلى الله عليه وسلم، وكان ذلك أقصى ما يمكن فعله في ذلك الزمان، ولا يكلف
الله نفسا إلاّ وسعها، أما الآن وقد أضحى استخدام الحاسوب متيسرا فلا حجة لنا باعتماد
العين المجردة فحسب، بل يجب تحري الوقت الحقيقي لغروب الشمس وليس مجرد اختفائها
كما يبدو للعين المجردة. و إهمال الجبال أو المرتفعات هو المعمول به في حساب وقت
الشروق والغروب في جميع الدول الإسلامية على حد علمنا.
7-3) بداية وقت صلاتي الفجر
والعشاء:
ذكر
سابقا أنه وجد فلكيا أن وقت صلاتي الفجر والعشاء يحين عندما يكون مركز الشمس
منخفضا بمقدار 18º تحت الافق، وهذا هو المعتمد في المراجع والكتب
الفلكية، إلا أن بعض الدول الإسلامية تفضل استخدام زاوية أخرى، فالعديد من الجهات الإسلامية في الولايات
المتحدة الأمريكية مثلا تفضل استخدام الزاوية 15º، وفي مصر على سبيل المثال فهم يعتمدون الزاوية 19.5º للفجر و17.5º للعشاء، ولكن لا يوجد
حتى الآن بحث علمي حقيقي يبين أن بداية وقت صلاتي الفجر والعشاء يحين عندما تكون قيمة
الزاوية غير 18º . فالزاوية 18º قد تم
الحصول عليها بعد دراسة علمية دقيقة. [17]
7-4) تأثر صلاتي الفجر والعشاء
بالإرتفاع عن مستوى سطح البحر وبالعوامل الجوية:
من المعروف أن الشروق والغروب يتأثران بالإرتفاع عن مستوى سطح البحر، وهذا أمر مبتوت فيه. أما تأثر صلاتي الفجر والعشاء بالإرتفاع عن مستوى سطح البحر فما زال غير محسوم تماما. فيذكر إلياس في كتابه [14] أنه كلما زاد الإرتفاع عن مستوى سطح البحر نقص سمك الغلاف الجوي، وبالتالي يقل التشتت وعليه يتأخر وقت صلاة الفجر ويتقدم وقت صلاة العشاء، ومن جهة أخرى أكد شيفر (Scheafer) [21] عدم تأثر صلاتي الفجر والعشاء بالإرتفاع عن مستوى سطح البحر. وتميل مراجع أخرى إلى أن تأثر صلاتي الفجر والعشاء بالإرتفاع عن مستوى سطح البحر مهمل [19, 20]، ومن هنا نرى التباين بين الآراء المختلفة ونرى ضرورة إجراء دراسة حقيقية لمعرفة تأثر صلاتي الفجر والعشاء بالإرتفاع عن مستوى سطح البحر، و بعد الإطلاع على حجة كل طرف فإننا نميل إلى عدم تأثر صلاتي الفجر والعشاء بالإرتفاع عن مستوى سطح البحر.
و كذلك
الحال بالنسبة لتأثر صلاتي الفجر والعشاء بالعوامل الجوية، فنشتت الأشعة في الغلاف
الجوي يتأثر بكمية الأتربة و الأبخرة الموجودة في الغلاف الجوي و بنسبة الرطوبة و
درجة الحرارة، و لكن لا يوجد حتى الآن بحث يدرس هذه التأثيرات بشكل تفصيلي و دقيق.
7-5) مراقبة وقت بداية الفجر أو
العشاء:
يرى
البعض أن آذان الفجر يؤذن قبل ظهور الفجر الصادق ودليلهم في ذلك مراقبتهم ظهور
الفجر الصادق بالعين المجردة من داخل المدينة، وهذا دليل لا يصلح. فإضاءة المدينة تمنعنا من رؤية التباشير الأولى
للفجر الصادق، فالتأكد من صحة آذان الفجر يجب مراقبته من منطقة بعيدة عن إضاءة
المدن ومن سماء خالية من ضوء القمر.
7-6) حساب مواقيت الصلاة بالنسبة
للمدن:
قد يكون
من المحير تحديد المنطقة التي سيتم اعتمادها لحساب مواقيت الصلاة بالنسبة لمدينة
ما، فهل هي شرق المدينة أم وسطها أم غربها؟ أمّا إذا اعتمد شرق المدينة فهذا يعني
أن المؤذن في رمضان مثلا سيؤذن لصلاة المغرب عند غروب الشمس بالنسبة لشرق المدينة،
و عندها سيفطر الصائمون في غرب المدينة على الرغم من عدم غروب الشمس بعد بالنسبة
لهم، وعليه بطل صيامهم. أما إذا تم اعتماد غرب المدينة فهذا يعني أن القاطنين في
شرق المدينة سيستمرون في السحور في رمضان حتى يؤذن الفجر بالنسبة لغرب المدينة على
الرغم من بزوغ الفجر في شرق المدينة،
وعليه أيضاً بطل صومهم. أما إن أجريت الحسابات بالنسبة لوسط المدينة فستبرز كلتا
المشكلتين السابقتين. و من هنا نرى أن
الحل الأمثل لهذه المشكلة و الأحوط هو حساب موعد صلاة الفجر وشروق الشمس بالنسبة
لشرق المدينة وحساب باقي مواقيت الصلاة بالنسبة لغرب المدينة وبذلك نضمن صحة صوم
وصلاة جميع أهل المدينة.
8- الخلاصة
إن حساب
مواقيت الصلاة منضبط بمعادلات رياضية يمكنها حساب مواقيت الصلاة بدقة عالية، و
يمكن أخذ الآراء الفقهية المختلفة و المتعلقة بمواقيت الصلاة بعين الاعتبار، و لكن
تبقى هناك بعض العوامل التي بحاجة إلى بحث متخصص لبيان تأثيرها على مواقيت الصلاة،
مثل تأثر صلاتي الفجر والعشاء بالإرتفاع عن مستوى سطح البحر وبالعوامل الجوية، و
دقة اختيار الزاوية 18º لتحديد وقت صلاتي الفجر و
العشاء. لذلك فإننا ندعوا إلى إجراء
دراسات حول هذا الإشكالات، و التي من شأنها أن تحسم خلافات دامت لسنوات طويلة.
* الكاتب
محمد
شوكت عودة: رئيس المشروع الإسلامي لرصد الأهلة ICOP، رئيس لجنة رصد الأهلة و المواقيت التابعة للجمعية الفلكية
الأردنية، عضو مؤسس في الإتحاد العربي لعلوم الفضاء و الفلك، عضو اللجنة الرسمية
لإثبات الأهلة في الأردن و الإمارات. (modeh@icoproject.org).
* المراجع
المراجع العربية:
1- دراسة الشفق و علاقته بمواقيت صلاتي الفجر و
العشاء، د. عبد العزيز بكري أحمد، 2000م.
2- السماء في الليل، د. علي عبنده و د. عبدالقادر
عابد، مؤسسة الرسالة - بيروت، 1985م.
3- رصد السماء، د. عبد الرحيم بدر، مؤسسة عبد
الحميد شومان - عمّان، 1992م.
4- تطبيقات علم الفلك في الشريعة الإسلامية، م.
عوني خصاونة، المكتبة الوطنية - عمّان، 1999م.
5- تحديد أوقات الصلاة، د. إبراهيم زيد الكيلاني.
6- تحقيق مواقيت صلاتي الفجر و العشاء، علي بن
السيد عبد الرحمن آل هاشم، 2000م.
7- تحقيق مواقيت صلاتي العشاء و الفجر، أ.د. أحمد
إسماعيل خليفة، 2000م.
8- تحقيق عن مواقيت صلاتي الفجر و العشاء، أ.د.
عيسى علي محمد علي عيسى، 2000م.
9- دراسة مقارنة مواقيت صلاتي العشاء و الفجر،
أ.د. عيسى علي محمد علي عيسى و أ.د. محمد أحمد
سليمان و د. أمير حسن، 2000م.
10- صلاتي العشاء و الفجر بين الحسابات و الأرصاد
الفلكية، أ.د. منير أحمد محمود حمدي، 2000م.
11-
دراسة تأثير تغير خطوط العرض على مواقيت صلاتي العشاء و الفجر، د. أمير
حسين حسن، 2000م.
12-
تحقيق صلاتي الفجر و العشاء، د. نصر فريد واصل، 2000م.
المراجع الإنجليزية:
13- Astronomical Algorithms, Jean Meeus, Willmann-Bell, Inc., 1991.
14- Astronomy of Islamic Times for the Twenty-first Century, Prof.
Mohammad Ilyas, Mansell Publishing Limited, 1989.
15- Elements of Astronomy for Surveyors, JBM, Charles Griffin & Company
LTD, 1982.
16- The Astronomical Almanac, Nautical Alamanc Office USNO & Royal
Greenwitch
Observatory
1994.
17- Explanatory Supplement to the Astronomical Almanac, P. Kenneth
18- Observer’s Handbook 2001, Rajiv Gupta, RASC, 2001.
19- The U.S. Air Almanac, table 3, p. A151.
20- Supplement to the 1946 American Ephemeris, p. 17.
21- Prof. Bradley E.
Schaefer 2000, personal communication.
الملحق
(1): خط الطول الأوسط
فيما يلي خط الطول الأوسط لكل حزمة
زمنية، و الحزمة الزمنية هي فرق التوقيت الزمني المستخدم في الدولة أو المنطقة
لتحويل الوقت من توقيت جرينتش إلى توقيت محلي. و لمعرفة خط الطول الأوسط من الجدول
التالي، يجب أولا إلغاء التوقيت الصيفي إذا كان مستخدما.
|
الحزمة الزمنية |
خط الطول الأوسط |
مثال |
الحزمة الزمنية |
خط الطول الأوسط |
مثال |
|
0 |
0 |
بريطانيا |
0 |
0 |
بريطانيا |
|
1+ |
15 |
الجزائر |
1- |
15- |
كيب فيرد |
|
2+ |
30 |
الأردن |
2- |
30- |
وسط الأطلسي |
|
3+ |
45 |
الكويت |
3- |
45- |
برازيليا |
|
4+ |
60 |
الإمارات |
4- |
60- |
كراكاس |
|
5+ |
75 |
كراتشي |
5- |
75- |
EST |
|
6+ |
90 |
دكا |
6- |
90- |
CST |
|
7+ |
105 |
جاكرتا |
7- |
105- |
MST |
|
8+ |
120 |
هونج كنج |
8- |
120- |
PST |
|
9+ |
135 |
طوكيو |
9- |
135- |
الاسكا |
|
10+ |
150 |
سدني |
10- |
150- |
هاواي |
|
11+ |
165 |
جزر سولومون |
11- |
165- |
ساموا |
|
12+ |
180 |
جزيرة فيجي |
12- |
180- |
-- |
الملحق
(2): معادلة الزمن و الميل الإستوائي
للشمس
فيما يلي
معادلة الزمن Equation of Time بالدقائق (الوقت الشمسي
الحقيقي ناقص الوقت الشمسي المتوسط) و الميل الإستوائي للشمس بالدرجات حسب العام
2000م، و لا تختلف هذه القيم كثيرا من سنة لأخرى. و إذا كان المراد الحصول على قيم دقيقة لمواقيت
الصلاة، فيفضل حساب معادلة الزمن و الميل الإستوائي للشمس كما هو مبين في الملحق
3، فاستخدام القيم أدناه سيعطي قيم تقريبية لمواقيت الصلاة.
اليوم
|
معادلة الزمن |
الميل الإستوائي |
اليوم
|
معادلة الزمن |
الميل الإستوائي |
|
01/01 |
03.2 - |
23.0 - |
01/07 |
03.9 - |
23.1 |
|
05/01 |
05.1 - |
22.7 - |
05/07 |
04.6 - |
22.7 |
|
10/01 |
07.3 - |
22.0 - |
10/07 |
05.4 - |
22.2 |
|
15/01 |
09.2 - |
21.2 - |
15/07 |
06.0 - |
21.4 |
|
20/01 |
10.8 - |
20.2 - |
20/07 |
06.3 - |
20.6 |
|
25/01 |
12.2 - |
19.1 - |
25/07 |
06.5 - |
19.5 |
|
01/02 |
13.5 - |
17.2 - |
01/08 |
06.3 - |
17.9 |
|
05/02 |
13.9 - |
16.1 - |
05/08 |
05.9 - |
16.8 |
|
10/02 |
14.2 - |
14.5 - |
10/08 |
05.3 - |
15.4 |
|
15/02 |
14.2 - |
12.8 - |
15/08 |
04.4 - |
13.9 |
|
20/02 |
13.8 - |
11.1 - |
20/08 |
03.3 - |
12.3 |
|
25/02 |
13.2 - |
09.3 - |
25/08 |
02.0 - |
10.6 |
|
01/03 |
12.3 - |
07.4 - |
01/09 |
00.1 |
08.1 |
|
05/03 |
11.4 - |
05.9 - |
05/09 |
01.4 |
06.6 |
|
10/03 |
10.2 - |
03.9 - |
10/09 |
03.1 |
04.8 |
|
15/03 |
08.9 - |
01.9 - |
15/09 |
04.9 |
02.8 |
|
20/03 |
07.4 - |
00.0 |
20/09 |
06.7 |
00.9 |
|
25/03 |
05.9 - |
02.0 |
25/09 |
08.4 |
01.0 - |
|
01/04 |
03.8 - |
04.7 |
01/10 |
10.4 |
03.4 - |
|
05/04 |
02.6 - |
06.3 |
05/10 |
11.7 |
04.9 - |
|
10/04 |
01.2 - |
08.1 |
10/10 |
13.1 |
06.8 - |
|
15/04 |
00.0 |
09.9 |
15/10 |
14.3 |
08.7 - |
|
20/04 |
01.2 |
11.7 |
20/10 |
15.3 |
10.5 - |
|
25/04 |
02.1 |
13.3 |
25/10 |
16.0 |
12.3 - |
|
01/05 |
03.0 |
15.2 |
01/11 |
16.4 |
14.6 - |
|
05/05 |
03.3 |
16.4 |
05/11 |
16.4 |
15.8 - |
|
10/05 |
03.6 |
17.7 |
10/11 |
16.1 |
17.3 - |
|
15/05 |
03.7 |
19.0 |
15/11 |
15.4 |
18.6 - |
|
20/05 |
03.5 |
20.1 |
20/11 |
14.3 |
19.8 - |
|
25/05 |
03.1 |
21.0 |
25/11 |
12.9 |
20.8 - |
|
01/06 |
02.2 |
22.1 |
01/12 |
10.9 |
21.9 - |
|
05/06 |
01.5 |
22.6 |
05/12 |
09.3 |
22.4 - |
|
10/06 |
00.5 |
23.0 |
10/12 |
07.1 |
23.0 - |
|
15/06 |
00.5 - |
23.3 |
15/12 |
04.8 |
23.3 - |
|
20/06 |
01.6 - |
23.4 |
20/12 |
02.3 |
23.4 - |
|
25/06 |
02.6 - |
23.4 |
25/12 |
00.2 - |
23.4 - |
الملحق
(3): حساب إحداثيات الشمس و معادلة الزمن
يمكن
حساب الإحداثيات الإستوائية للشمس ] الصعود المستقيم (Right
Ascension) و
الميل الإستوائي (Declination) [ و معادلة الزمن باستخدام المعادلات التالية، و
تبلغ دقة هذه المعادلات في الفترة ما بين 1950م و حتى 2050م 0.01 درجة بالنسبة
للإحداثيات الإستوائية للشمس و 0.1 دقيقة بالنسبة لمعادلة الزمن.
n = JD – 2451545.0
L = º280.466 + º0.9856474 * n
g = º357.528 + º0.9856003 * n
ضع
الزاوية L و الزاوية g ما بين 0º – 360º بإضافة أو طرح مضاعفات الـ 360º
λ = L + º1.915 sin g + º0.020 sin 2g
ε = º23.440 – º0.0000004 * n
α = tan-1 ( cos ε tan λ ).
δ = sin-1 ( sin ε sin λ ).
E = ( L – α ) * 4
R = 1.00014 – 0.01671 cos g – 0.00014 cos 2g
Horizontal Parallax = º0.0024.
Semi diameter = º0.2666 / R
حيث إن:
n: عدد الأيام منذ 01/01/2000م.
JD: اليوم اليولياني للوقت المراد حساب إحداثيات
الشمس و معادلة الزمن عنده (راجع الملحق 4).
L: خط طول الشمس الوسطي المصحح للزيغان بالدرجات
Mean longitude
of Sun, corrected for aberration.
g: البعد الزاوي الوسطي للشمس عن نقطة الحضيض
بالدرجات Mean Anomaly.
λ:
خط الطول البرجي للشمس بالدرجات Ecliptic
longitude.
ε:
ميلان محور الأرض بالدرجات Obliquity of ecliptic.
α:
الصعود المستقيم للشمس بالدرجات Right Ascension.
δ:
الميل الإستوائي للشمس بالدرجات Declination.
E: معادلة الزمن Equation of Time بالدقائق (الوقت الشمسي الحقيقي - الوقت الشمسي المتوسط)
R: بعد الأرض عن الشمس بالوحدات الفلكية.
Horizontal Parallax: اللوص الأفقي بالدرجات.
Semi diameter: نصف قطر الشمس الظاهري
بالدرجات.
الملحق (4): حساب اليوم اليولياني (Julian Day)
اليوم
اليولياني هو بمثابة عداد أيام مستمر منذ العام 4712 قبل الميلاد، فاليوم
اليولياني الموافق ليوم 01/01/2002م مثلا هو 2452276.0، أي أن عدد الأيام منذ
العام 4712 قبل الميلاد و حتى
01/01/2002 هو 2452276.0 يوما. و يبدأ اليوم اليولياني عند الساعة 12 ظهرا
حسب توقيت جرينتش، فاليوم اليولياني 2452276.0 هو الموافق ليوم 01/01/2002م في
تمام الساعة 12 ظهرا حسب توقيت جرينتش. أما اليوم اليولياني يوم 01/01/2002م في
تمام الساعة السادسة مساء بتوقيت جرينتش فهو 2452276.25. و يمكن حساب اليوم
اليولياني بالمعادلات التالية:-
- فلتكن Y = السنة، M = الشهر، D = اليوم.
-
إذا كانت M
< 2 فإن: M = M, Y = Y.
- إذا كانت M = 1 أو 2، فإن (Y = Y -1)، (M = M + 12).
- إذا كان التاريخ بالتقويم الجريجوري (بعد 15/10/1582م) فإن
A = INT(Y/100) B = 2 - A + INT (A/4)
- إذا كان التاريخ بالتقويم اليولياني (قبل 15/10/1582م) فإن B = 0.
JD = INT(365.25(Y+4716)) + INT(30.6001 (M+1)) + D + B - 1524.5
- الحل:
Y = 1957, M = 10, D = 4.81, A = INT(19.57) = 19, B = -13
![]()
- الحل:
Y = 332, M = 13, D = 27.5, B = 0
![]()